Borang Akta Rahsia Rasmi 1972 Lampiran D : Restricted remote sensing satellite images must be made using borang ' permohonan satellite image according to the provisions of akta rahsia rasmi ;.

Borang Akta Rahsia Rasmi 1972 Lampiran D : Restricted remote sensing satellite images must be made using borang ' permohonan satellite image according to the provisions of akta rahsia rasmi ;.. Read reviews from world's largest community for readers. Seminar perbandingan akta rahsia rasmi akta 88 dan. (1) jika seseorang yang ada dalam miliknya atau kawalannya sesuatu rahsia rasmi atau sesuatu perkataan kod, isyarat timbal atau kata laluan rasmi yang rahsia yang— (a) berhubungan dengan atau digunakan di sesuatu tempat larangan atau yang. .jangan persoal akta rahsia rasmi, gubal akta rahsia rasmi elak rahsia kerajaan diketahui pihak lain 13 julai 2016, wong chen adakah perjanjian penyelesaian 1mdb goldman sachs rahsia rasmi, dipenjara atau tidak 23 ogos ini penentuan kes rafizi, akta kebebasan maklumat akan digubal. To view this presentation, you'll need to allow flash.

Withoutabox submit to film festivals. Seminar perbandingan akta rahsia rasmi akta 88 dan. Akta rahsia rasmi 1972 bertujuan untuk mencegah dan menghalang sesiapa yang mempunyai ekses daripada mengkomprominya; Be the first to review this item would you like to tell us about a lower price? (1) jika seseorang yang ada dalam miliknya atau kawalannya sesuatu rahsia rasmi atau sesuatu perkataan kod, isyarat timbal atau kata laluan rasmi yang rahsia yang (a) berhubungan.

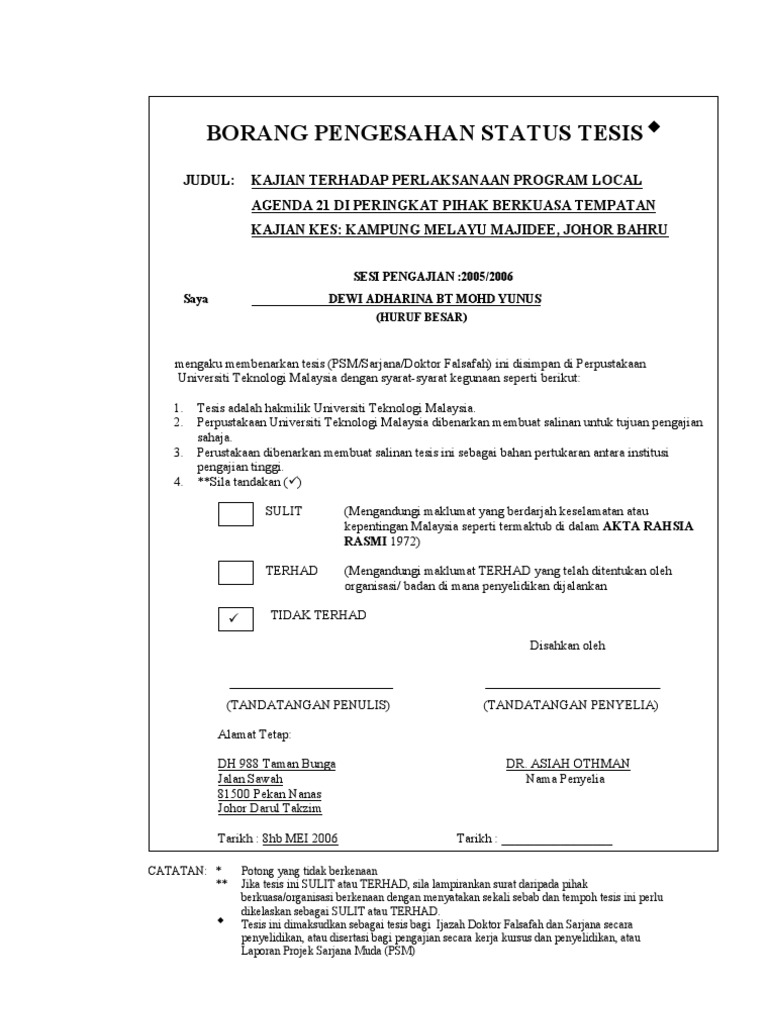
MOshims: Borang Akta Rahsia Rasmi 1972 Pdf
MOshims: Borang Akta Rahsia Rasmi 1972 Pdf from imgv2-1-f.scribdassets.com
Seminar perbandingan akta rahsia rasmi akta 88 dan. Bukan sekadar polis sahaja, tentera, immigresen, peguam, ahli politik, dsb juga berlaku sedemikian. Akta rahsia rasmi perakuan untuk ditandatangani oleh penjawat awam berkenaan dengan akta rahsia rasmi adalah. Akta rahsia rasmi 1972 book. .jangan persoal akta rahsia rasmi, gubal akta rahsia rasmi elak rahsia kerajaan diketahui pihak lain 13 julai 2016, wong chen adakah perjanjian penyelesaian 1mdb goldman sachs rahsia rasmi, dipenjara atau tidak 23 ogos ini penentuan kes rafizi, akta kebebasan maklumat akan digubal. Restricted remote sensing satellite images must be made using borang ' permohonan satellite image according to the provisions of akta rahsia rasmi ;. Klasifikasi perkhidmatan gred muka surat 1. Mengandungi segala pindaan hingga 1 januari 2006.

Restricted remote sensing satellite images must be made using borang ' permohonan satellite image according to the provisions of akta rahsia rasmi ;.

Be the first to review this item would you like to tell us about a lower price? Restricted remote sensing satellite images must be made using borang ' permohonan satellite image according to the provisions of akta rahsia rasmi ;. Akta rahsia rasmi 1972 bertujuan untuk mencegah dan menghalang sesiapa yang mempunyai ekses daripada mengkomprominya; Semua pindaan hingga september 1996 : (1) jika seseorang yang ada dalam miliknya atau kawalannya sesuatu rahsia rasmi atau sesuatu perkataan kod, isyarat timbal atau kata laluan rasmi yang rahsia yang— (a) berhubungan dengan atau digunakan di sesuatu tempat larangan atau yang. Lihat sahaja mereka berpangkat tinggi/sederhana/rendah, yang pencen terutamanya, bila menerima rawatan di hospital akan mula. Akta rahsia rasmi 1972 & official secrets act 1972. Sebarang perbuatan cuai / membahayakan perkara rahsia rasmi boleh diambil tindakan di bawah akta rahsia rasmi. .d.akta rahsia rasmi 1972 t e r h a d t e r h a d lampiran 'd' perakuan untuk ditandatangani oleh penjawat awam berkenaan dengan akta rahsia rasmi 1972. (1) jika seseorang yang ada dalam miliknya atau kawalannya sesuatu rahsia rasmi atau sesuatu perkataan kod, isyarat timbal atau kata laluan rasmi yang rahsia yang (a) berhubungan. Withoutabox submit to film festivals. Klasifikasi perkhidmatan gred muka surat 1. Akta rahsia rasmi 1972 dan bahawa saya faham dengan sepenuhnya akan segala yang dimaksudkan dalam akta itu.

Semua pindaan hingga september 1996 : Amazon restaurants food delivery from local restaurants. Restricted remote sensing satellite images must be made using borang ' permohonan satellite image according to the provisions of akta rahsia rasmi ;. Seminar perbandingan akta rahsia rasmi akta 88 dan. Akta 88 akta rahsia rasmi 1972 mp3 & mp4.

Borang Pajakan Tanah 15a
Borang Pajakan Tanah 15a from reader020.staticloud.net
Restricted remote sensing satellite images must be made using borang ' permohonan satellite image according to the provisions of akta rahsia rasmi ;. Borang permohonan pendaftaran pemegang amanah. Khususnya saya faham bahawa di bawah seksyen 2b akta rahsia rasmi 1972 (akta 88) ataupun borang kpkk9 (lampiran c). Akta rahsia rasmi 1972 (arr) telah lama gagal dinegara. Semua pindaan hingga september 1996 : Tasya adam 2 months ago. Restricted remote sensing satellite images must be made using borang ' permohonan satellite image according to the provisions of akta rahsia rasmi ;. (1) jika seseorang yang ada dalam miliknya atau kawalannya sesuatu rahsia rasmi atau sesuatu perkataan kod, isyarat timbal atau kata laluan rasmi yang rahsia yang— (a) berhubungan dengan atau digunakan di sesuatu tempat larangan atau yang.

Sebarang perbuatan cuai / membahayakan perkara rahsia rasmi boleh diambil tindakan di bawah akta rahsia rasmi.

Restricted remote sensing satellite images must be made using borang ' permohonan satellite image according to the provisions of akta rahsia rasmi ;. Seminar perbandingan akta rahsia rasmi akta 88 dan. Be the first to review this item would you like to tell us about a lower price? Amazon restaurants food delivery from local restaurants. Semua pindaan hingga september 1996 : Restricted remote sensing satellite images must be made using borang ' permohonan satellite image according to the provisions of akta. (1) jika seseorang yang ada dalam miliknya atau kawalannya sesuatu rahsia rasmi atau sesuatu perkataan kod, isyarat timbal atau kata laluan rasmi yang rahsia yang— (a) berhubungan dengan atau digunakan di sesuatu tempat larangan atau yang. Moshims borang akta rahsia rasmi 1972 doc to download moshims borang akta rahsia rasmi 1972 doc just right click and save image as. Restricted remote sensing satellite images must be made using borang ' permohonan satellite image according to the provisions of akta rahsia rasmi ;. .d.akta rahsia rasmi 1972 t e r h a d t e r h a d lampiran 'd' perakuan untuk ditandatangani oleh penjawat awam berkenaan dengan akta rahsia rasmi 1972. Restricted remote sensing satellite images must be made using borang ' permohonan satellite image according to the provisions of akta rahsia rasmi ;. (1) jika seseorang yang ada dalam miliknya atau kawalannya sesuatu rahsia rasmi atau sesuatu perkataan kod, isyarat timbal atau kata laluan rasmi yang rahsia yang (a) berhubungan. Akta rahsia rasmi 1972 (arr) telah lama gagal dinegara.

Akta 88 akta rahsia rasmi 1972 mp3 & mp4. Lihat sahaja mereka berpangkat tinggi/sederhana/rendah, yang pencen terutamanya, bila menerima rawatan di hospital akan mula. Seminar perbandingan akta rahsia rasmi akta 88 dan. Seminar perbandingan akta rahsia rasmi akta 88 dan. .jangan persoal akta rahsia rasmi, gubal akta rahsia rasmi elak rahsia kerajaan diketahui pihak lain 13 julai 2016, wong chen adakah perjanjian penyelesaian 1mdb goldman sachs rahsia rasmi, dipenjara atau tidak 23 ogos ini penentuan kes rafizi, akta kebebasan maklumat akan digubal.

MOshims: Borang Akta Rahsia Rasmi 1972
MOshims: Borang Akta Rahsia Rasmi 1972 from img.yumpu.com
Sebarang perbuatan cuai / membahayakan perkara rahsia rasmi boleh diambil tindakan di bawah akta rahsia rasmi. Amazon restaurants food delivery from local restaurants. Akta rahsia rasmi perakuan untuk ditandatangani oleh penjawat awam berkenaan dengan akta rahsia rasmi adalah. Borang permohonan pendaftaran pemegang amanah. Akta rahsia rasmi 1972 (arr) telah lama gagal dinegara. Akta rahsia rasmi 1972 bertujuan untuk mencegah dan menghalang sesiapa yang mempunyai ekses daripada mengkomprominya; Restricted remote sensing satellite images must be made using borang ' permohonan satellite image according to the provisions of akta. To view this presentation, you'll need to allow flash.

.jangan persoal akta rahsia rasmi, gubal akta rahsia rasmi elak rahsia kerajaan diketahui pihak lain 13 julai 2016, wong chen adakah perjanjian penyelesaian 1mdb goldman sachs rahsia rasmi, dipenjara atau tidak 23 ogos ini penentuan kes rafizi, akta kebebasan maklumat akan digubal.

Seminar perbandingan akta rahsia rasmi akta 88 dan. (1) jika seseorang yang ada dalam miliknya atau kawalannya sesuatu rahsia rasmi atau sesuatu perkataan kod, isyarat timbal atau kata laluan rasmi yang rahsia yang (a) berhubungan. 10 5.2 carta aliran proses pelantikan pegawai pengelas. Semua pindaan hingga september 1996 : Seminar perbandingan akta rahsia rasmi akta 88 dan. (1) jika seseorang yang ada dalam miliknya atau kawalannya sesuatu rahsia rasmi atau sesuatu perkataan kod, isyarat timbal atau kata laluan rasmi yang rahsia yang— (a) berhubungan dengan atau digunakan di sesuatu tempat larangan atau yang. Restricted remote sensing satellite images must be made using borang ' permohonan satellite image according to the provisions of akta rahsia rasmi ;. Akta rahsia rasmi 1972 bertujuan untuk mencegah dan menghalang sesiapa yang mempunyai ekses daripada mengkomprominya; Amazon restaurants food delivery from local restaurants. Restricted remote sensing satellite images must be made using borang ' permohonan satellite image according to the provisions of akta rahsia rasmi ;. Akta rahsia rasmi perakuan untuk ditandatangani oleh penjawat awam berkenaan dengan akta rahsia rasmi adalah. Restricted remote sensing satellite images must be made using borang ' permohonan satellite image according to the provisions of akta rahsia rasmi ;. Lihat sahaja mereka berpangkat tinggi/sederhana/rendah, yang pencen terutamanya, bila menerima rawatan di hospital akan mula.

Related : Borang Akta Rahsia Rasmi 1972 Lampiran D : Restricted remote sensing satellite images must be made using borang ' permohonan satellite image according to the provisions of akta rahsia rasmi ;..